Inspiratif Email Undangan Meeting Dalam Bahasa Inggris

Apakah kamu sedang mencari Email Undangan Meeting Dalam Bahasa Inggris ? Jika benar maka kamu sudah membuka halaman website yang tepat. Pada post kali ini kamu bisa mendapatkan informasi mengenai Paling Populer Email Undangan Meeting Dalam Bahasa Inggris.

37 Contoh Surat Undangan Osis Perusahaan Sekolah Rt Dan Desa

37 Contoh Surat Undangan Osis Perusahaan Sekolah Rt Dan Desa

13 Contoh Surat Undangan Resmi Untuk Berbagai Keperluan

13 Contoh Surat Undangan Resmi Untuk Berbagai Keperluan

Contoh Surat Resmi Dalam Bahasa Inggris Pdf Surasmi G

Contoh Surat Resmi Dalam Bahasa Inggris Pdf Surasmi G

Surat Balasan Bisnis Dalam Bahasa Inggris Bisnis

Surat Balasan Bisnis Dalam Bahasa Inggris Bisnis

Surat Undangan Meeting Dalam Bahasa Inggris Contoh Seputar Surat

Surat Undangan Meeting Dalam Bahasa Inggris Contoh Seputar Surat

Surat Permohonan Maaf Bahasa Inggris Jujubandung

Surat Permohonan Maaf Bahasa Inggris Jujubandung

Bhs Inggris 2 Verb

Bhs Inggris 2 Verb

Contoh Undangan Rapat Dalam Bahasa Inggris Dan Artinya لم يسبق له

Contoh Undangan Rapat Dalam Bahasa Inggris Dan Artinya لم يسبق له

Contoh Undangan Meeting Via Email Bahasa Inggris Dapatkan Contoh

Contoh Undangan Meeting Via Email Bahasa Inggris Dapatkan Contoh

Kamus English Indonesia X4ew9px3d343

Kamus English Indonesia X4ew9px3d343

How To Write A Kickoff Meeting Agenda Lucidchart Blog

How To Write A Kickoff Meeting Agenda Lucidchart Blog

Contoh Surat Undangan Rapat Dalam Bahasa Inggris Dan Artinya لم

Contoh Surat Undangan Rapat Dalam Bahasa Inggris Dan Artinya لم

How To Write A Thank You Email After An Interview

How To Write A Thank You Email After An Interview

3 Contoh Surat Komplain Dalam Bahasa Inggris Dan Artinya

3 Contoh Surat Komplain Dalam Bahasa Inggris Dan Artinya

6 Contoh Memo Resmi Formal Dan Tidak Resmi Informal Dalam

6 Contoh Memo Resmi Formal Dan Tidak Resmi Informal Dalam

Contoh Surat Undangan Rapat Kelulusan Mail Merge Ilmu Cuitan Dokter

Contoh Surat Undangan Rapat Kelulusan Mail Merge Ilmu Cuitan Dokter

Satu Docx Ummah Ethnic Groups Free 30 Day Trial Scribd

Satu Docx Ummah Ethnic Groups Free 30 Day Trial Scribd

Surat Undangan Conference Bahasa Inggris Jujubandung

Surat Undangan Conference Bahasa Inggris Jujubandung

Https Www Jtrustbank Co Id Theme Site Pdf Laporan Pelaksanaan Gcg 2015 Pdf

Https Www Jtrustbank Co Id Theme Site Pdf Laporan Pelaksanaan Gcg 2015 Pdf

Https Encrypted Tbn0 Gstatic Com Images Q Tbn 3aand9gct1jwstk538cb4nzerw3bmprugcfuoxqdqju2o4z6c I4qqstbt Usqp Cau

Https Encrypted Tbn0 Gstatic Com Images Q Tbn 3aand9gct1jwstk538cb4nzerw3bmprugcfuoxqdqju2o4z6c I4qqstbt Usqp Cau

Menjadwalkan Rapat Dengan Orang Lain Outlook

Menjadwalkan Rapat Dengan Orang Lain Outlook

Contoh Undangan Rapat Dalam Bahasa Inggris Singkat Bagikan Contoh

Contoh Undangan Rapat Dalam Bahasa Inggris Singkat Bagikan Contoh

10 Contoh Undangan Bahasa Inggris Berbagai Acara

10 Contoh Undangan Bahasa Inggris Berbagai Acara

Surat Menjawab Undangan Bahasa Inggris Jujubandung

Surat Menjawab Undangan Bahasa Inggris Jujubandung

Soal Bahasa Inggris Bagian 1

Soal Bahasa Inggris Bagian 1

Contoh Surat Undangan Rapat Sekolah Dalam Bahasa Inggris Beserta

Contoh Surat Undangan Rapat Sekolah Dalam Bahasa Inggris Beserta

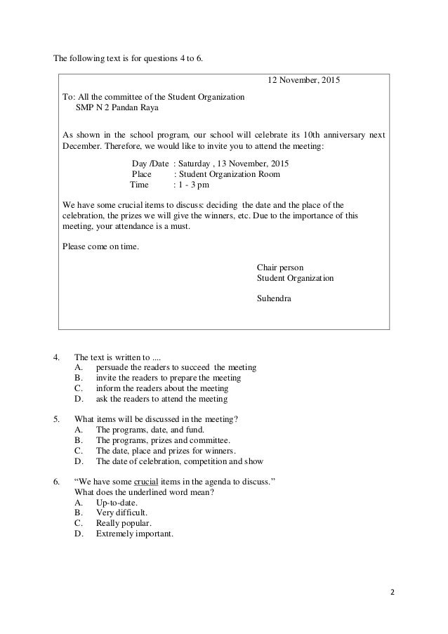
2

2

18 Contoh Contoh Surat Undangan Rapat Resmi Terbaru 2019 Suratku

18 Contoh Contoh Surat Undangan Rapat Resmi Terbaru 2019 Suratku

Contoh Email Undangan Meeting Contoh Isi Undangan Cuitan Dokter

Contoh Email Undangan Meeting Contoh Isi Undangan Cuitan Dokter

Https Encrypted Tbn0 Gstatic Com Images Q Tbn 3aand9gcsn9xsmrzgjrcmqftqg185nf3jum8chz22cejecfnsrpgfoazda Usqp Cau

Https Encrypted Tbn0 Gstatic Com Images Q Tbn 3aand9gcsn9xsmrzgjrcmqftqg185nf3jum8chz22cejecfnsrpgfoazda Usqp Cau

Un B Inggris

Un B Inggris

10 Contoh Undangan Dalam Bahasa Inggris Dan Terjemahannya

10 Contoh Undangan Dalam Bahasa Inggris Dan Terjemahannya

Https Encrypted Tbn0 Gstatic Com Images Q Tbn 3aand9gcsjjcwhcykesmwzwzb7s1deviaf7 6rhvbkjmv5gufx6kzn7t1a Usqp Cau

Https Encrypted Tbn0 Gstatic Com Images Q Tbn 3aand9gcsjjcwhcykesmwzwzb7s1deviaf7 6rhvbkjmv5gufx6kzn7t1a Usqp Cau

Https Api Research Repository Uwa Edu Au Portalfiles Portal 3240189 Setiawan Slamet 2013 Pdf

Https Api Research Repository Uwa Edu Au Portalfiles Portal 3240189 Setiawan Slamet 2013 Pdf

Surat Konfirmasi Rapat Bahasa Inggris Jujubandung

Surat Konfirmasi Rapat Bahasa Inggris Jujubandung

Contoh Short Message Kegiatan Sekolah English Class

Contoh Short Message Kegiatan Sekolah English Class

7 Contoh Surat Undangan Rapat Resmi Rt Perusahaan Organisasi

7 Contoh Surat Undangan Rapat Resmi Rt Perusahaan Organisasi

Contoh Surat Undangan Rapat Kelulusan Mail Merge Ilmu Cuitan Dokter

Contoh Surat Undangan Rapat Kelulusan Mail Merge Ilmu Cuitan Dokter

Http Eprints Uny Ac Id 23949 1 Thesis Pdf

Http Eprints Uny Ac Id 23949 1 Thesis Pdf

2zfo7imazutxbm

2zfo7imazutxbm

Contoh Surat Undangan Bisnis Dalam Bahasa Inggris Jujubandung

Contoh Surat Undangan Bisnis Dalam Bahasa Inggris Jujubandung

Surat Undangan Rapat Dalam Bahasa Inggris Dan Terjemahannya لم

Surat Undangan Rapat Dalam Bahasa Inggris Dan Terjemahannya لم

Surat Undangan Resmi Untuk Kepala Sekolah Dalam Bahasa Inggris لم

Surat Undangan Resmi Untuk Kepala Sekolah Dalam Bahasa Inggris لم

Kumpulan Contoh Soal Bahasa Inggris Tentang Letter Dan

Kumpulan Contoh Soal Bahasa Inggris Tentang Letter Dan

13 Contoh Surat Penawaran Lengkap Jasa Kerjasama Barang Elektronik

13 Contoh Surat Penawaran Lengkap Jasa Kerjasama Barang Elektronik

Soal Ujian Bahasa Inggris Smk 1

Soal Ujian Bahasa Inggris Smk 1

Contoh Surat Undangan Resmi Yang Baik Dan Benar Update

Contoh Surat Undangan Resmi Yang Baik Dan Benar Update

Https Encrypted Tbn0 Gstatic Com Images Q Tbn 3aand9gcqw7ok8bd6nkpfwojrcep11z8luuf6wzu0rufa4fzzv Bez7qw6 Usqp Cau

Https Encrypted Tbn0 Gstatic Com Images Q Tbn 3aand9gcqw7ok8bd6nkpfwojrcep11z8luuf6wzu0rufa4fzzv Bez7qw6 Usqp Cau

How To Write A Kickoff Meeting Agenda Lucidchart Blog

How To Write A Kickoff Meeting Agenda Lucidchart Blog

Buku Bahasa Inggris Sma Smk Kelas 11 Kurikulum 2013

Buku Bahasa Inggris Sma Smk Kelas 11 Kurikulum 2013

Contoh Surat Undangan Meeting Dalam Bahasa Inggris Kumpulan

Contoh Surat Undangan Meeting Dalam Bahasa Inggris Kumpulan

Jadwalkan Rapat Di Teams Dukungan Office

Jadwalkan Rapat Di Teams Dukungan Office

Contoh Surat Undangan Rapat Via Email Surat 5 Cuitan Dokter

Contoh Surat Undangan Rapat Via Email Surat 5 Cuitan Dokter

Contoh Surat Undangan Rapat Resmi Organisasi Contoh Surat

Contoh Surat Undangan Rapat Resmi Organisasi Contoh Surat

Doc Rpp Bahasa Inggris Kelas Xi Semester 1 Formal Invitation K 13

Doc Rpp Bahasa Inggris Kelas Xi Semester 1 Formal Invitation K 13

Contoh Surat Undangan Resmi Yang Baik Dan Benar Update

Contoh Surat Undangan Resmi Yang Baik Dan Benar Update

Pdf Science Teacher Education In Malaysia Challenges And Way Forward

Pdf Science Teacher Education In Malaysia Challenges And Way Forward

Contoh Surat Formal Dalam Bahasa Inggris Zona Ilmu 6

Contoh Surat Formal Dalam Bahasa Inggris Zona Ilmu 6

Contoh Surat Resmi Dan Cara Menulisnya Yang Sesuai

Contoh Surat Resmi Dan Cara Menulisnya Yang Sesuai

Surat Konfirmasi Rapat Bahasa Inggris Jujubandung

Surat Konfirmasi Rapat Bahasa Inggris Jujubandung

Http Www Academypublication Com Issues Jltr Vol10 Jltr1003 Pdf

Http Www Academypublication Com Issues Jltr Vol10 Jltr1003 Pdf

Surat Undangan Conference Bahasa Inggris Jujubandung

Surat Undangan Conference Bahasa Inggris Jujubandung

Contoh Surat Undangan Resmi Yang Baik Dan Benar Update

Contoh Surat Undangan Resmi Yang Baik Dan Benar Update

Http Eaerc Com Wp Content Uploads 2019 01 00 Cejiss 12 4 Pdf

Http Eaerc Com Wp Content Uploads 2019 01 00 Cejiss 12 4 Pdf

Https Www Jtrustbank Co Id Theme Site Pdf Laporan Pelaksanaan Gcg 2015 Pdf

Https Www Jtrustbank Co Id Theme Site Pdf Laporan Pelaksanaan Gcg 2015 Pdf

Menjadwalkan Rapat Di Kalender Grup Di Outlook Outlook

Menjadwalkan Rapat Di Kalender Grup Di Outlook Outlook

16 Contoh Surat Undangan Dalam Bahasa Inggris Dan Arti Contoh Surat

16 Contoh Surat Undangan Dalam Bahasa Inggris Dan Arti Contoh Surat

Membuat Undangan Rapat Dalam Bahasa Inggris Sederet Com

Membuat Undangan Rapat Dalam Bahasa Inggris Sederet Com

Contoh Surat Undangan Resmi Yang Baik Dan Benar Update

Contoh Surat Undangan Resmi Yang Baik Dan Benar Update

Contoh Email Undangan Meeting Dalam Bahasa Inggris Toko Fd

Contoh Email Undangan Meeting Dalam Bahasa Inggris Toko Fd

Bahasa Inggris

Bahasa Inggris

Menjadwalkan Rapat Di Kalender Grup Di Outlook Outlook

Menjadwalkan Rapat Di Kalender Grup Di Outlook Outlook

Pdf A Sequential Explanatory Investigation Of Tpack Indonesian

Pdf A Sequential Explanatory Investigation Of Tpack Indonesian

Contoh Surat Undangan Pernikahan Via Email

Contoh Surat Undangan Pernikahan Via Email

15 Contoh Surat Undangan Dalam Bahasa Inggris Berbagai Kegiatan

15 Contoh Surat Undangan Dalam Bahasa Inggris Berbagai Kegiatan

Blog Archives Efirasanfrancisco

Blog Archives Efirasanfrancisco

5 Contoh Surat Balasan Permohonan Instansi Undangan Dan Lainnya

5 Contoh Surat Balasan Permohonan Instansi Undangan Dan Lainnya

Contoh Surat Undangan Resmi Yang Baik Dan Benar Update

Contoh Surat Undangan Resmi Yang Baik Dan Benar Update

15 Contoh Surat Lamaran Kerja Bahasa Inggris Yang Baik Dan

15 Contoh Surat Lamaran Kerja Bahasa Inggris Yang Baik Dan

Contoh Surat Undangan Resmi Yang Baik Dan Benar Update

Contoh Surat Undangan Resmi Yang Baik Dan Benar Update

15 Contoh Memo Dalam Bahasa Inggris Beserta Artinya Belajar

15 Contoh Memo Dalam Bahasa Inggris Beserta Artinya Belajar

Doc Contoh Surat Dinas Dalam Bahasa Inggris Beserta Terjemahannya

Doc Contoh Surat Dinas Dalam Bahasa Inggris Beserta Terjemahannya

Surat Menjawab Undangan Bahasa Inggris Jujubandung

Surat Menjawab Undangan Bahasa Inggris Jujubandung

3 Cara Untuk Menulis Surel Undangan Rapat Wikihow

3 Cara Untuk Menulis Surel Undangan Rapat Wikihow

Rose Rise Of Social Efforts Home Facebook

Rose Rise Of Social Efforts Home Facebook

How To Write A Thank You Email After An Interview

How To Write A Thank You Email After An Interview

10 Contoh Pengumuman Dalam Bahasa Inggris English Admin

10 Contoh Pengumuman Dalam Bahasa Inggris English Admin

21 Contoh Surat Undangan Resmi Tidak Resmi Rapat Pernikahan

21 Contoh Surat Undangan Resmi Tidak Resmi Rapat Pernikahan

Contoh Surat Lamaran Via Email Bahasa Inggris Cable Tos Cuitan

Contoh Surat Lamaran Via Email Bahasa Inggris Cable Tos Cuitan

15 Contoh Surat Resmi Cara Membuat Undangan Pemerintah

15 Contoh Surat Resmi Cara Membuat Undangan Pemerintah

Undangan Wawancara Jobstreet Employer Indonesia

Undangan Wawancara Jobstreet Employer Indonesia

Kumpulan Soal Invitation Text Smp Dan Pembahasan Paja Tapuih

Kumpulan Soal Invitation Text Smp Dan Pembahasan Paja Tapuih

Jadwalkan Rapat Di Teams Dukungan Office

Jadwalkan Rapat Di Teams Dukungan Office

Pdf Effective Classroom Management

Pdf Effective Classroom Management

Contoh Undangan Meeting Via Email Aneka Contoh

Contoh Undangan Meeting Via Email Aneka Contoh

Http Pubdocs Worldbank Org En 782611471526616285 Indonesia Small Hydro Mapping Inception Report Wb Esmap July2014 Pdf

Http Pubdocs Worldbank Org En 782611471526616285 Indonesia Small Hydro Mapping Inception Report Wb Esmap July2014 Pdf

2

2

Membuat Dan Mengirim Email Di Outlook Outlook

Membuat Dan Mengirim Email Di Outlook Outlook

Contoh Surat Undangan Resmi Yang Baik Dan Benar Update

Contoh Surat Undangan Resmi Yang Baik Dan Benar Update

Contoh Undangan Perpisahan Dalam Bahasa Inggris Beserta Artinya

Contoh Undangan Perpisahan Dalam Bahasa Inggris Beserta Artinya

Contoh Surat Undangan Rapat Guru Dalam Bahasa Inggris لم يسبق له

Contoh Surat Undangan Rapat Guru Dalam Bahasa Inggris لم يسبق له

Modul Bahasa Inggris Kelas Vii Semester 2

Modul Bahasa Inggris Kelas Vii Semester 2

Contoh Surat Undangan Resmi Yang Baik Dan Benar Update

Contoh Surat Undangan Resmi Yang Baik Dan Benar Update

Contoh Surat Bisnis Dalam Bahasa Inggris Guru Ilmu Sosial

Contoh Surat Bisnis Dalam Bahasa Inggris Guru Ilmu Sosial

Cukup sampai disini informasi mengenai Keren Nih Email Undangan Meeting Dalam Bahasa Inggris yang bisa kami bagikan. Semoga bisa menambah wawasan untuk kalian semua